В условиях растущего воздействия синего света, загрязнения окружающей среды и окислительного стресса защита клеток человека от повреждения свободными радикалами стала крайне важной. Среди всех природных антиоксидантов антиоксидант гидрокситирозол (cas 10597-60-1) привлек внимание науки благодаря своей двойной антиоксидантной силе.
В этом посте компания Viablife , производитель высокочистого жидкого гидрокситирозола, расскажет о двойном антиоксидантном механизме действия продаваемого антиоксиданта гидрокситирозола, а также о его синергетическом воздействии на структуру и метаболические пути.
Антиоксидантная эффективность: двойная проверка in vitro + in vivo
Исследования in vitro: гидрокситирозол защищает клетки от окислительного стресса, вызванного синим светом.
Эксперименты на клетках имитируют один из наиболее распространенных источников современного окислительного стресса — воздействие синего света светодиодов. При облучении кератиноцитов и фибробластов человека синим светом происходит резкое увеличение образования активных форм кислорода (АФК), что приводит к клеточному окислению, разрушению коллагена и ускоренному фотостарению.

В этих экспериментах обработка антиоксидантом гидрокситирозолом значительно подавляла избыточное образование АФК и защищала клеточный коллаген от деградации. Эффект был дозозависимым — более высокие концентрации гидрокситирозола соответствовали большему ингибированию АФК.
Это открытие означает, что гидрокситирозол не просто нейтрализует существующие радикалы; он эффективно *предотвращает* окислительные цепные реакции, вызванные световым стрессом. При воздействии имитированного светодиодного света клетки кожи, обработанные гидрокситирозолом, сохраняли свою структурную целостность и противостояли окислительному повреждению, что доказывает его высокий антиоксидантный потенциал in vitro.
Вкратце, гидрокситирозол действует как щит для клеток кожи и дермы, борясь со скрытым окислительным повреждением, вызванным обычными цифровыми источниками света — открытие, имеющее непосредственное отношение к средствам по уходу за кожей и косметическим рецептурам, содержащим жидкий гидрокситирозол.
Исследования in vivo: Укрепление естественной защиты кожи
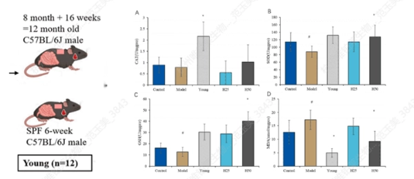
Помимо экспериментов в чашке Петри, эксперименты на животных моделях предоставляют убедительные доказательства *in vivo*. В модели окислительного старения кожи, вызванного AGEs (конечными продуктами гликирования), у мышей, получавших гидрокситирозол, наблюдалось значительное улучшение активности антиоксидантных ферментов.
Уровни СОД (супероксиддисмутазы) и ГШ-Пх (глутатионпероксидазы) значительно повысились, в то время как уровень МДА (малонового диальдегида) — маркера перекисного окисления липидов — снизился. Эти результаты указывают на то, что гидрокситирозол не только действует непосредственно как поглотитель свободных радикалов, но и усиливает внутреннюю антиоксидантную систему организма.

Это двойное действие снижает окислительный стресс в тканях и восстанавливает гомеостаз кожи. Проще говоря, *гидрокситирозол восстанавливает антиоксидантную способность изнутри* — результат, подтверждающий его системную эффективность in vivo.
В совокупности исследования на клетках и животных подтверждают, что антиоксидантная активность гидрокситирозола является как биохимически мощной, так и биологически значимой, что закладывает основу для его широкого спектра применения.
Двойной внутренний антиоксидантный механизм: синергия структуры и пути действия.
Структурное преимущество: орто-дигидроксифенольная группа
Исключительные свойства антиоксиданта гидрокситирозола обусловлены его орто-дигидрокси (катехольной) структурой. Это уникальное расположение позволяет гидрокситирозолу эффективно отдавать атомы водорода, прерывая цепные реакции свободных радикалов и стабилизируя реакционноспособные частицы.
Сравнительные данные показывают, что соединения катехольного типа с такой структурой обладают гораздо более сильной способностью нейтрализовать свободные радикалы, чем соединения, не имеющие такой структуры. В случае гидрокситирозола это означает, что он может напрямую нейтрализовать гидроксильные радикалы, супероксидные радикалы и пероксинитрит, которые относятся к числу наиболее вредных окислительных агентов в биологических системах.
Это структурное преимущество объясняет его превосходное подавление образования активных форм кислорода под воздействием синего света *in vitro*. Способность останавливать радикалы в источнике их образования обеспечивает гидрокситирозолу немедленный защитный эффект, формируя первую линию антиоксидантной защиты.

Регуляция сигнальных путей: активация клеточной защитной сети Nrf2.
Второй механизм — клеточный и адаптивный. Гидрокситирозол не только нейтрализует свободные радикалы, но и активирует сигнальный путь Nrf2, который управляет долгосрочной антиоксидантной защитной системой организма.

При обработке гидрокситирозолом Nrf2 (ядерный фактор эритроидного 2-связанного фактора 2) перемещается в ядро клетки и связывается с элементами антиоксидантного ответа (ARE) в ДНК. Эта активация запускает экспрессию антиоксидантных и детоксикационных ферментов, включая СОД, GPx, GR (глутатионредуктазу) и GST (глутатион-S-трансферазу).

Исследования показывают, что в клетках, обработанных гидрокситирозолом, ядерный уровень Nrf2 повышается, а цитозольный — снижается, что подтверждает успешную активацию и транслокацию. В результате значительно повышается активность ферментов GPx, GR и GST.
Активация Nrf2 снижает образование АФК и повышает способность клетки противостоять окислительному стрессу, обеспечивая длительную антиоксидантную защиту даже после первоначального воздействия свободных радикалов.
Таким образом, гидрокситирозол обеспечивает два взаимодополняющих механизма действия:
1. Немедленная нейтрализация радикалов благодаря своей катехольной структуре.
2. Эндогенная активация антиоксидантов посредством сигнализации Nrf2.
Эта синергия — *структура + путь* — создает надежную, многоуровневую антиоксидантную защиту, в отличие от большинства традиционных антиоксидантов, которые полагаются на один единственный механизм.
Научно обоснованные стандарты качества гидрокситирозола: анализ поставщиков и производственных процессов.
Надежные источники поставок имеют решающее значение для преобразования результатов лабораторных исследований в эффективные продукты. Компания Viablife, поставщик гидрокситирозола, является всемирно признанным производителем, известным своей технологией точной ферментации и экстракции на основе биоматериалов.
Компания Viablife, являясь производителем гидрокситирозола, гарантирует неизменную чистоту, высокую стабильность и отслеживаемость производственных стандартов для всех партий. Жидкая формула гидрокситирозола упрощает его добавление в сыворотки для ухода за кожей, питательные напитки или пищевые добавки без ущерба для эффективности.
Для брендов или разработчиков рецептур, стремящихся продавать гидрокситирозол, Viablife предоставляет не только сырье, но и техническую поддержку, рекомендации по составлению рецептур и нормативную документацию. Такая научная прозрачность помогает связать исследования и коммерциализацию, упрощая разработку антиоксидантных продуктов нового поколения, эффективность которых подтверждена.
От лаборатории к жизни: практическое применение антиоксиданта гидрокситирозола.
Благодаря двойной валидации и синергетическому механизму действия, гидрокситирозол стал универсальным ингредиентом в различных отраслях:
* Уход за кожей и косметика: предотвращает окислительное фотостарение, защищает коллаген и смягчает воздействие синего света в составе средств для наружного применения.
* Функциональные продукты питания и напитки: жидкий гидрокситирозол обогащает напитки и пищевые добавки природной антиоксидантной активностью.
* Нутрицевтики: поддерживают здоровье сердечно-сосудистой и неврологической систем за счет системного контроля активных форм кислорода.
* Фармацевтические исследования: изучаются возможности применения при хронических воспалительных, метаболических и нейродегенеративных заболеваниях, связанных с окислительным повреждением.
Доказанная способность гидрокситирозола восстанавливать антиоксидантный баланс как снаружи, так и внутри организма делает его биоактивным веществом нового поколения для комплексной защиты.
Заключение
От клеточных исследований in vitro до моделей на животных in vivo антиоксидант гидрокситирозол неизменно демонстрирует свою способность бороться с окислительным стрессом, снижать уровень активных форм кислорода и усиливать ферментативную защиту. Его двойной антиоксидантный механизм — мощное структурное ядро, нейтрализующее свободные радикалы, плюс активация защитного пути Nrf2 — обеспечивает всестороннюю защиту на молекулярном и системном уровнях.
Это природное соединение, созданное на основе научных исследований и произведенное с высокой точностью компанией Viablife, поставщиком гидрокситирозола, является примером того, как современные биотехнологии и молекулярное понимание объединяются для достижения ощутимых преимуществ для здоровья и красоты.
Будь то уход за кожей, питание или передовые оздоровительные формулы, гидрокситирозол является эталоном будущего биоактивных антиоксидантов — научно доказанным, структурно эффективным и биологически разумным.
китайский
Соединенные Штаты
Испания
Русский
Франция
Германия
Итальянский
Япония
Aрабский
португальский
Корейский
Тайский
греческий
Индия




Leave a Message